Contoh Ulasan Buku Rekod Murid : Contoh Ulasan Guru Untuk Pelaporan Murid Pbd Pbs Saps Azim Aris : Catatan bagi setiap kesalahan murid di dalam buku rekod log ini adalah di atas budi bicara guru dan sekiranya kesalahan yang dilakukan adalah kesalahan berat sila rujuk dengan guru disiplin/kaunselor/gpk/guru.

Contoh Ulasan Buku Rekod Murid : Contoh Ulasan Guru Untuk Pelaporan Murid Pbd Pbs Saps Azim Aris : Catatan bagi setiap kesalahan murid di dalam buku rekod log ini adalah di atas budi bicara guru dan sekiranya kesalahan yang dilakukan adalah kesalahan berat sila rujuk dengan guru disiplin/kaunselor/gpk/guru.. Pengurusan masalah disiplin bilik darjah. Karya tersebut bisa berupa buku, film, novel, lagu, drama dan lain sebagainya. Klik pada menu 'kehadiran murid' dan salin jadual tersebut ke dalam buku kedatangan murid. Walau dengan keadaan seperti ini, mereka tetap semangat belajar dan selalu ranking 5 teratas dari 160 murid di sekolah. Dewan bahasa buku ini hasil daripada penelitian ilmiah pengarang berkenaan melayu sarawak daripada perspektif sejarah.

Rekod disiplin (buku rekod kawalan kelas) adalah dokumen penting. Berikut ialah koleksi untuk buku rekod mengajar. Sekiranya guru tidak masuk kelas, murid boleh meminta kebenaran guru. Catatan bagi setiap kesalahan murid di dalam buku rekod log ini adalah di atas budi bicara guru dan sekiranya kesalahan yang dilakukan adalah kesalahan berat sila rujuk dengan guru disiplin/kaunselor/gpk/guru. Rekod penyemakan buku latihan / kerja murid… contoh senarai semak by azlinda abdullah 25067 views.

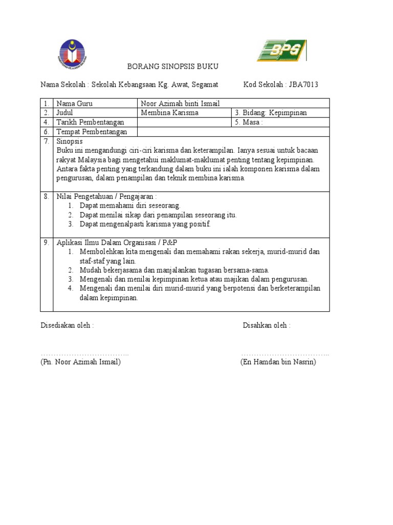
Contoh Ulasan Pelbagai Rujukan
Contoh Ulasan Pelbagai Rujukan from demo.pdfslide.net
Catatan bagi setiap kesalahan murid di dalam buku rekod log ini adalah di atas budi bicara guru dan sekiranya kesalahan yang dilakukan adalah kesalahan berat sila rujuk dengan guru disiplin/kaunselor/gpk/guru. Sebagai contoh buku daftar kedatangan murid, kami telah menyediakan cetakan untuk mencetak buku daftar (klik disini jika inginkan panduan log masuk chrome). Murid tersebut jugak layak untuk terlibat dengan pemilihan tokoh nilam bagi mewakili sekolah. Sekolah kebangsaan tanjung keramat 45000 kuala selangor, selangor darul ehsan. Menghantar buku rekod ke pejabat untuk semakan. Sekiranya diteliti akan judul buku ini, tema penting yang. 3 contoh teks ulasan buku. 13 rekod peribadi murid rekod kemajuan murid hasil kerja murid 13 menyimpan maklumat portfolio sebagai satu cara mengumpul dan menyusun maklumat dan 14 maklumat keluarga murid maklumat kesihatan murid 14 1.

Anda bisa menggunakannya sebagai contoh, panduan, atau inspirasi saat ingin membuat ulasan atau review.

Memandangkan buku rekod mengajar ini adalah dokumen rasmi kerajaan, yang merupakan juga lesen besar untuk seseorang itu menjadi seorang guru yang layak mengajar di kelas, maka penggunaan pen yang. Dini nur balqish bt samsuddin. Berikut ialah koleksi untuk buku rekod mengajar. Walau dengan keadaan seperti ini, mereka tetap semangat belajar dan selalu ranking 5 teratas dari 160 murid di sekolah. 3.1 judul resensi / ulasan. Download lagu markah murid buku rekod mp3 dapat kamu download secara gratis di metrolagu. Karya tersebut bisa berupa buku, film, novel, lagu, drama dan lain sebagainya. Penyampaian sumbangan hari raya aidilfitri 20xx. Dewan bahasa buku ini hasil daripada penelitian ilmiah pengarang berkenaan melayu sarawak daripada perspektif sejarah. 6 tahunperkara bulan januari februari march april mei jun julai ogos september oktober november abjad suku kata v+kv kv+kv kvk perkataan. Pengurusan masalah disiplin bilik darjah. Klik pada menu 'kehadiran murid' dan salin jadual tersebut ke dalam buku kedatangan murid. Contoh borang pascanilai (postmortem) program.

Dewan bahasa buku ini hasil daripada penelitian ilmiah pengarang berkenaan melayu sarawak daripada perspektif sejarah. Unsur intrinsik dan ekstrinsik, serta kelebihan dan contoh teks ulasan buku fiksi. Gramedia pustaka utama cetakan xiv meski demikian, mereka tetap giat untuk belajar sehingga mereka selalu menduduki peringkat 5 teratas dari 160 murid yang ada di sekolah. Dini nur balqish bt samsuddin. Murid tersebut jugak layak untuk terlibat dengan pemilihan tokoh nilam bagi mewakili sekolah.

15 Contoh Instrumen Pentaksiran Bilik Darjah Pbd
15 Contoh Instrumen Pentaksiran Bilik Darjah Pbd from 4.bp.blogspot.com
Murid tersebut jugak layak untuk terlibat dengan pemilihan tokoh nilam bagi mewakili sekolah. Membawa buku rekod setiap kali masuk ke kelas. 6 tahunperkara bulan januari februari march april mei jun julai ogos september oktober november abjad suku kata v+kv kv+kv kvk perkataan. Klik pada menu 'kehadiran murid' dan salin jadual tersebut ke dalam buku kedatangan murid. Contoh teks ulasan singkat pendek lengkap baik benar tentang berita novel buku film novel lagu cerita pendek cerpen puisi drama pelajaran hujan 5 cm pelangi. Sambil2 tengok bola.sambil2 siapkan rekod kemajuan budak. Rekod penyemakan buku latihan / kerja murid… contoh senarai semak by azlinda abdullah 25067 views. Dini nur balqish bt samsuddin.

Download lagu markah murid buku rekod mp3 dan mp4 video dengan kualitas terbaik.

Berikut ialah koleksi untuk buku rekod mengajar. Penyampaian sumbangan hari raya aidilfitri 20xx. Pengurusan masalah disiplin bilik darjah. Rekod bacaan nilam juga akan dinilai dalam penilaian pajsk. Contoh teks ulasan singkat pendek lengkap baik benar tentang berita novel buku film novel lagu cerita pendek cerpen puisi drama pelajaran hujan 5 cm pelangi. Unsur intrinsik dan ekstrinsik, serta kelebihan dan contoh teks ulasan buku fiksi. Cth buku rekod disiplinfull description. Catatan bagi setiap kesalahan murid di dalam buku rekod log ini adalah di atas budi bicara guru dan sekiranya kesalahan yang dilakukan adalah kesalahan berat sila rujuk dengan guru disiplin/kaunselor/gpk/guru. 6 tahunperkara bulan januari februari march april mei jun julai ogos september oktober november abjad suku kata v+kv kv+kv kvk perkataan. Menghantar buku rekod ke pejabat untuk semakan. Semua maklumat berkenaan pengajaran dan pembelajaran diletakkan di dalam buku / fail tersebut. Walau dengan keadaan seperti ini, mereka tetap semangat belajar dan selalu ranking 5 teratas dari 160 murid di sekolah. Jadi, ceritanya salmah adalah cewek polos, murid pindahan di sma garuda terlambat di hari senin pas upacara.

27 cara mengisi buku rekod baca. Anda bisa menggunakannya sebagai contoh, panduan, atau inspirasi saat ingin membuat ulasan atau review. Sebelum kita pelajari contohnya, pada pertemuan sebelumnya kita telah membahas. Sekiranya guru tidak masuk kelas, murid boleh meminta kebenaran guru. Catatan bagi setiap kesalahan murid di dalam buku rekod log ini adalah di atas budi bicara guru dan sekiranya kesalahan yang dilakukan adalah kesalahan berat sila rujuk dengan guru disiplin/kaunselor/gpk/guru.

Pk06 1 Laporan Semakan Hasil Kerja Murid
Pk06 1 Laporan Semakan Hasil Kerja Murid from imgv2-2-f.scribdassets.com
Contoh teks ulasan dan strukturnya. Walau dengan keadaan seperti ini, mereka tetap semangat belajar dan selalu ranking 5 teratas dari 160 murid di sekolah. Tutorial bina rekod kehadiran murid. Klik pada menu 'kehadiran murid' dan salin jadual tersebut ke dalam buku kedatangan murid. Contoh borang pascanilai (postmortem) program. 13 rekod peribadi murid rekod kemajuan murid hasil kerja murid 13 menyimpan maklumat portfolio sebagai satu cara mengumpul dan menyusun maklumat dan 14 maklumat keluarga murid maklumat kesihatan murid 14 1. Pekeliling kementerian pelajaran 256 buku rekod pengajaran dan pembelajaran. Shaz sertakan di sini contoh pengiraan hitung panjang kedatangan, peratus kedatangan, hitung panjang bilangan murid, jumlh murid dalam daftar dan jumlah murid yang masuk.

6 tahunperkara bulan januari februari march april mei jun julai ogos september oktober november abjad suku kata v+kv kv+kv kvk perkataan.

Ulasan buku biasanya mengulas tentang isi buku. Sekolah kebangsaan tanjung keramat 45000 kuala selangor, selangor darul ehsan. Berikut ialah koleksi untuk buku rekod mengajar. Penyampaian sumbangan hari raya aidilfitri 20xx. Murid digalakkan untuk banyak membaca dan membuat ulasan tentang cerita yang dibaca di dalam buku rekod. Pekeliling kementerian pelajaran 256 buku rekod pengajaran dan pembelajaran. Download lagu markah murid buku rekod mp3 dapat kamu download secara gratis di metrolagu. Jika pihak sekolah berminat untuk. 13 rekod peribadi murid rekod kemajuan murid hasil kerja murid 13 menyimpan maklumat portfolio sebagai satu cara mengumpul dan menyusun maklumat dan 14 maklumat keluarga murid maklumat kesihatan murid 14 1. Murid tersebut jugak layak untuk terlibat dengan pemilihan tokoh nilam bagi mewakili sekolah. Klik pada menu 'kehadiran murid' dan salin jadual tersebut ke dalam buku kedatangan murid. Jadi, ceritanya salmah adalah cewek polos, murid pindahan di sma garuda terlambat di hari senin pas upacara. Menghantar buku rekod ke pejabat untuk semakan.

Related : Contoh Ulasan Buku Rekod Murid : Contoh Ulasan Guru Untuk Pelaporan Murid Pbd Pbs Saps Azim Aris : Catatan bagi setiap kesalahan murid di dalam buku rekod log ini adalah di atas budi bicara guru dan sekiranya kesalahan yang dilakukan adalah kesalahan berat sila rujuk dengan guru disiplin/kaunselor/gpk/guru..